您现在的位置: 学院首页 > 学院概况 > 学院新闻 > 正文
我院赵焱团队在超均匀纳米粒子分布器实现新进展
发布人: 发布时间:2023-06-13 浏览次数:

 


 

论文链接:https://onlinelibrary.wiley.com/doi/10.1002/adma.202302418?af=R

 

近日,我院赵焱团队与武汉理工大学、江汉大学合作报道了一种可实现无枝晶锂金属电池的新型超均匀纳米离子分布器。相关成果“UltraUniform and Functionalized NanoIon Divider for Regulating Ion Distribution toward DendriteFree Lithium Metal Batteries”发表于Advanced Materials。四川大学为该论文第一完成单位,我校材料科学与工程学院赵焱教授、武汉理工大学麦立强教授、江汉大学李兆槐为共同通讯作者,我校材料科学与工程学院何秋(专职博士后)为第一作者。

锂金属电池因为高的能量密度而备受关注。许多研究者致力于解决其存在的锂枝晶问题。锂枝晶的形成过程可以分为四个阶段,即扩散、吸附、成核和生长。早期,大量研究着眼于抑制锂金属成核过程以减少枝晶的产生。但在实际条件下,盐的浓度、电流分布以及负极表面Li离子的均匀性主导着Li的沉积形态和循环稳定性,离子扩散和吸附比成核和生长过程对于Li沉积的影响更大。

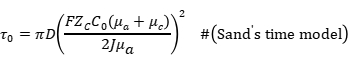
根据Sand的时间模型,锂枝晶的初始生长时间(τ0)与电解液体系和有效电流密度(J)直接相关。在理想的传统电解液体系中(1 M LiPF6EC:DEC=3:7, v%),C01。然而,在实际工作条件下,电解液中的Li离子浓度为梯度分布,即从正极向负极逐渐降低。此外,负极表面的Li离子浓度分布非常随机。这两者造成阳极表面的实际离子浓度(Ca)显著小于1。因此,实际锂枝晶初始生长时间(τc)通常比预期的安全时间(τ0)更短。近年来,高浓度和局部高浓度电解质被提出作为解决锂枝晶问题的潜在解决方案。虽然高浓度离子流可以促使Li离子快速穿过负极-隔膜界面(低RLi),但是更高的全局锂离子浓度会导致更大的浓度梯度。这种非均匀浓度场和具有无序孔结构的商业Celgard隔膜组合会促进锂枝晶的快速生长。

采用离子分布器是一种可替代的、更可靠的方法,其应对锂离子的扩散和传输过程,可以更加有效地均化离子浓度以解决锂枝晶问题。隔膜作为电池的重要组成部分,本身也是离子输运中介和锂离子分布器。离子分布器的孔隙大小和均匀性在均化锂离子浓度和电流密度方面起着至关重要的作用。但是商业上可用的聚烯烃隔膜的孔径大小不规则,通常达到数百纳米。根据先前的研究和理论验证,更小和更均匀的隔膜孔隙有助于均匀分散锂离子。虽然MOFLLZTO晶体内部具有用于分离锂离子流的埃米级孔隙,但其构成的修饰层存在不均匀的颗粒间隙,可能成为锂枝晶的生长通道。此外,许多消除锂枝晶的方法依赖于过量的非活性材料,会降低锂金属电池的能量密度。因此,设计高效的功能性锂离子流分布器具有重要意义。

赵焱团队设计并制造了具有均匀纳米孔道结构的M-NC@MXen复合纳米片作为多功能隔膜修饰材料。纳米片中间是厚度5纳米的超薄MXene片,两侧包裹着厚度20 nm的金属单原子和氮共掺杂的多孔碳,片层具有整齐排列的、孔径约10 nm的孔道结构。实验和计算验证了M-NC@MXene 纳米片以多种途径来消除锂枝晶:(1)通过高度有序的离子通道重新分配锂离子流,使负极表面具有均匀的锂离子浓度(C0增加);2)通过杂原子掺杂选择性地传导锂离子和锚定阴离子延长锂枝晶的成核时间μa减小);3)在常规聚丙烯(PP)隔膜上交错堆叠以阻碍锂枝晶的生长路径;(4)相场模拟表明纳米片修饰层能显著均化锂金属表面的电流密度(局部J减小。使用Zn-NC@MXene/PP复合隔膜组装的Li||Li对称电池在3 mA cm2高电流密度和3 mAh cm2高容量下的循环测试中显示出约 25 mV 的超低过电位和1500小时的循环寿命值得注意的是,Zn-NC@MXene/PP复合隔膜使能量密度为 305 Wh kg1Li||Ni83 软包电池的寿命提高了五倍。此外,该研究中测试的Li||LiLi||LiFePO4Li||Sulfur电池的卓越性能也揭示了该多功能离子分布器在进一步实际应用中的巨大潜力。

 

 

 

公告栏 2019年四川大学“中国核动力”奖学金拟推荐名单[详细]
四川大学材料科学与工程学院 ©2006-2010 All Rights Reserved
电话:86-28-85416050 传真:86-28-85416050
邮编:610064 地址:四川大学第一理科楼附三楼